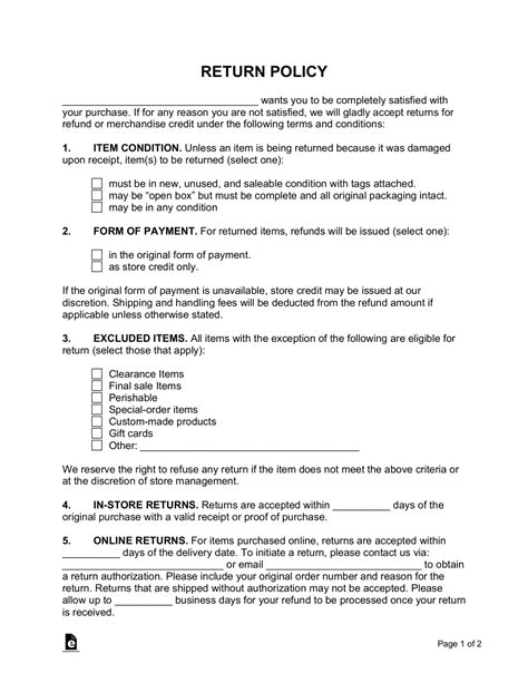
Philip Jensen Blog